Depozitlərdə dollarlaşma aşağı düşür
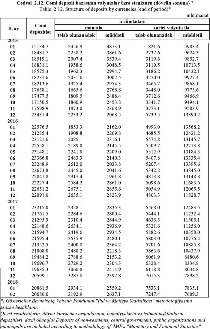
2018-ci ilin Fevral ayının sonuna banklarda cəmi depozitlər 20 milyard 686.6 milyon manat təşkil edib.
"Marja" Mərkəzi Bankın statistikasına istinadən xəbər verir ki, depozitərin 5 milyard 830 milyon manatı və ya 28,2%-i milli valyutada, 14 milyard 856,7 milyon manatı və ya 71,8%-i xarici valyutada olub.
Yanvar ayında bu nisbətlər müvafiq olaraq 26,3% və 73,7% təşkil etmişdi.
Müştərilərin xəbərləri
SON XƏBƏRLƏR
- 1 ay sonra
-
1 ay sonra
“Coca-Cola” tələbələr üçün “One Idea” innovasiya müsabiqəsinə start verdi
-
9 saat əvvəl
“Bu mərhələ tamamlandı” - Naim Əzizov yeni planlarını açıqladı
-
-
1 gün əvvəl
Liv Bona Dea Hospitalda ilk sümük iliyi transplantasiyası uğurla həyata keçirildi
- 1 gün əvvəl
-
1 gün əvvəl
Azərbaycanda kredit reytinq agentlikləri üçün kapital tələbi qoyulacaq
-
1 gün əvvəl
Böyük mebel istehsalçıları bir arada - Azərbaycan mebeli dünya ölkələrinə ixrac ediləcək - FOTOLAR
-
1 gün əvvəl
Azərbaycanın Dubay şəhərindəki baş konsulu dəyişdi - SƏRƏNCAMLAR
- 1 gün əvvəl
-
1 gün əvvəl
Bu gün ABŞ markası "Popeyes"in Azərbaycanda ilk restoranı "Crescent Mall"da istifadəyə verilir
- 1 gün əvvəl
- 1 gün əvvəl
Son Xəbərlər
Azərbaycanda Vakansiyalar - Azvak.az
“Bu mərhələ tamamlandı” - Naim Əzizov yeni planlarını açıqladı
Böyük mebel istehsalçıları bir arada - Azərbaycan mebeli dünya ölkələrinə ixrac ediləcək - FOTOLAR
Kriptovalyuta ticarəti kursu
Bu gün ABŞ markası "Popeyes"in Azərbaycanda ilk restoranı "Crescent Mall"da istifadəyə verilir
569 nömrəli marşrut xəttində avtobuslar dəyişdirilir
Dolların bazar ertəsi üçün rəsmi məzənnəsi müəyyən olunub
"Google"dan nəhəng batareya texnologiyası hazırlayan startapa 1 milyard dollarlıq sifariş
2025-ci ildə 749 min manat kompensasiya ödəyib
bp və SOCAR saziş imzaladı
Xarici valyuta köçürmələri ilə bağlı tənzimləməyə yenidən baxılacaq





















