Dünyada buğda ucuzlaşsa da, Azərbaycanda un istehsalçıları qiymətləri artırıb
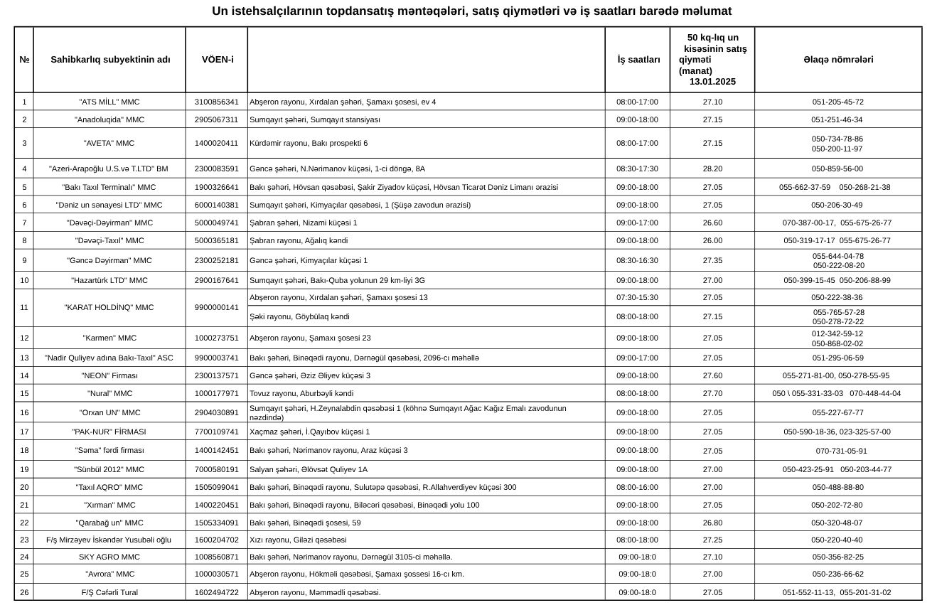
50 kq-lıq un kisəsinin qiymətləri 50 qəpyədək artırılıb.İqtisadiyyat Nazirliyi yanında Antiinhisar və İstehlak Bazarına Nəzarət Dövlət Xidməti 10 fevral 2025-ci il tarixinə "Un istehsalçılarının topdansatış məntəqələri, satış qiymətləri" bardə məlumatları açıqlayıb.
Marja.az-ın əvvəlki qiymətlər ilə apardığı müqayisəsi göstərir ki, son 1 ayda un qiymətləri artırılıb.
Belə ki, 14 Yanvar 2025-ci il tarixində açıqlanmış məlumatda 50 kq-lıq un kisəsinin satış qiymətiləri 26 manat - 28,20 manat civarında ikən, dünüən açıqlanan qiymətlərdən məlum olur ki, artıq un istehsalçılarının topdansatış satış qiymətləri 26,50 manat 28,20 manat civarındadır. Unun kisəsini 27 manatın üzərində təklif edən əksər istehsalçılar qiymətləri 10-50 qəpik civarında artırıblar.
Qeyd edək ki, dünya bazarlarda buğdanın qiyməti artmayıb, əksinə düşüb. Birləşmiş Millətlər Təşkilatının (BMT) Ərzaq və Kənd Təsərrüfatınnın (FAO) Taxıl Qiymətləri İndeksinə görə, taxıl qiymətləri yanvar ayında aylıq müqayisədə 0,3 faiz artsa da, illik müqayisədə 6,9 faiz azalıb. Yanvar ayında buğdanın ixrac qiymətləri cüzi azalma göstərib. Zəif idxal tələbi qiymətlərə təzyiq göstərib.
Un istehsalçılarının topdansatış məntəqələri, satış qiymətləri və iş saatları barədə məlumat - 10.02.2025

Un istehsalçılarının topdansatış məntəqələri, satış qiymətləri və iş saatları barədə məlumat - 10.01.2025

Marja.az-ın Telegram kanalına qoşulun və xəbərlər cibinizə gəlsin.
♦️ Ən son və vacib iqtisadi xəbərlər üçün Marja - Biznes və Maliyyə Xəbərləri Portalı
♦️ Ən mühüm xəbərlər üçün Marja.az
Müştərilərin xəbərləri
CFI 3-cü rübdə 1,55 trilyon dollar ticarət dövriyyəsinə çataraq yeni zirvəyə yüksəlib, sentyabrda isə aylıq rekordunu yeniləyib
SON XƏBƏRLƏR
- 1 ay sonra
- 1 gün sonra
-
2 saat əvvəl
Qarabağ Dirçəliş Fondu tut bağının salınmasına maliyyə dəstəyi ayırıb
-
📲 İndi
Marja.az-ın Telegram kanalına qoşulun və xəbərlər cibinizə gəlsin.
♦️ Ən son və vacib iqtisadi xəbərlər üçün Marja - Biznes və Maliyyə Xəbərləri Portalı
♦️ Ən mühüm iqtisadi xəbərlər üçün Marja.az - 2 saat əvvəl
-
2 saat əvvəl
Azərbaycanda 5 bankın kredit portfeli 1,5 milyard manatdan çoxdur
-
2 saat əvvəl
Bakı Fond Birjası Dünya Birjalar Federasiyasının tamhüquqlu üzvü olub
-
2 saat əvvəl
Azercell-in dəstəklədiyi gənclərdən beynəlxalq səviyyədə növbəti uğur!
-
2 saat əvvəl
Azərbaycandan 42 milyard manatlıq büdcə - 3,1 milyard manatlıq kəsir nəzərdə tutulur
- 2 saat əvvəl
-
3 saat əvvəl
Yusif Cabbarov: Kardesa layihəsi regionda innovativ və iqtisadi inkişafa töhfə verəcək
-
3 saat əvvəl
"Sizin Lombard" illik 15%-lə 7 il müdətinə 2 milyon manat cəlb etdi
-
4 saat əvvəl
Güzəşt ləğv olunur, maaşdan vergi ödəniləcək - ŞƏRTLƏR MƏLUM OLDU
Son Xəbərlər
Şaxta Baba şokdadır: Birmarket lotereyası başlayır!
“Azərbaycanfilm” studiyasına direktor təyin olunub
Azərbaycanda 5 bankın kredit portfeli 1,5 milyard manatdan çoxdur
Azərbaycandan 42 milyard manatlıq büdcə - 3,1 milyard manatlıq kəsir nəzərdə tutulur
Yusif Cabbarov: Kardesa layihəsi regionda innovativ və iqtisadi inkişafa töhfə verəcək
"Sizin Lombard" illik 15%-lə 7 il müdətinə 2 milyon manat cəlb etdi
Ən çox oxunanlar
Güzəşt ləğv olunur, maaşdan vergi ödəniləcək - ŞƏRTLƏR MƏLUM OLDU
Azərbaycanda yaşayış minimumu 15 manat artırılır - 300 manat olacaq
CFI 3-cü rübdə 1,55 trilyon dollar ticarət dövriyyəsinə çataraq yeni zirvəyə yüksəlib, sentyabrda isə aylıq rekordunu yeniləyib
Mərkəzi Bank fırıldaqçılıq statistikasını açıqladı
Qızılın qiymətilə bağlı yeni proqnoz - "Qiymət çox şişmişdi"
Neft Fondunun aktivləri xarici dövlət borcunu 13 dəfə üstələyir













.jpg)








.jpg)



